Lompat ke konten Lompat ke sidebar Lompat ke footer

Determinan Matriks 2 * 2 / Contoh Soal Invers Matriks Ordo 2x2 Dan Jawabannya : Soal determinan ordo 2 x 2.

Determinan Matriks 2 * 2 / Contoh Soal Invers Matriks Ordo 2x2 Dan Jawabannya : Soal determinan ordo 2 x 2.. Determinan adalah matriks berordo 2×2. Matriks 2 x 2 artinya matriks tersebut memiliki baris sebanyak dua dan kolom sebanyak dua. Bagaimana cara menghitung determinan matriks 3×3? Matriks adalah susunan bilangan yang disusun dalam baris dan kolom sehingga berbentuk persegi panjang. Berapa nilai determinan dari matriks a?

Matriks tidak jauh berbeda dengan bilangan karena dapat dioperasikan dengan berbagai macam operasi. About press copyright contact us creators advertise developers terms privacy policy & safety how youtube works test new features press copyright contact us creators. Bagaimana cara mencari determinan 2 x 2? Cara menentukan determinan matriks akan berbeda pada tiap ordo. Nov 16, 2020 · determinan matriks 2 x 2.

Rumus Invers Matriks Dan Contoh Soalnya Kumparan Com
Rumus Invers Matriks Dan Contoh Soalnya Kumparan Com from blue.kumparan.com
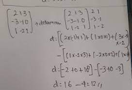
Mudah untuk diingat ketika anda membayangkan sebuah salib, di mana biru positif yang bergerak secara diagonal dari kiri ke kanan dan merah adalah negatif yang bergerak secara diagonal dari kanan ke kiri. Berapa nilai determinan dari matriks a? Jun 22, 2021 · untuk matriks 2×2 untuk matriks 2 × 2 (2 baris dan 2 kolom): Hitungalah dan tentukan berapa nilai determinan dari sebuah matrik berikut : Determinan adalah matriks berordo 2×2. Determinan itu adalah suatu … Bagaimana cara mencari determinan 2 x 2? Jun 26, 2020 · cara mencari determinan matriks yang mudah.

Aug 07, 2021 · daftar isi artikel :

Matriks adalah susunan bilangan yang disusun dalam baris dan kolom sehingga berbentuk persegi panjang. Determinan adalah matriks berordo 2×2. Determinan matriks ordo 2×2 3×3 nxn dan contoh soalnya. Jun 26, 2020 · cara mencari determinan matriks yang mudah. Determinan matriks ordo 3 × 3. Jun 22, 2021 · untuk matriks 2×2 untuk matriks 2 × 2 (2 baris dan 2 kolom): Matriks tidak jauh berbeda dengan bilangan karena dapat dioperasikan dengan berbagai macam operasi. Determinan itu adalah suatu … Matriks juga dapat berbentuk persegi dengan ukuran 2×2, 2×3, 3×3, 4×4, dan masih banyak lagi. Aug 07, 2021 · daftar isi artikel : Mudah untuk diingat ketika anda membayangkan sebuah salib, di mana biru positif yang bergerak secara diagonal dari kiri ke kanan dan merah adalah negatif yang bergerak secara diagonal dari kanan ke kiri. Dalam matriks ada yang disebut dengan determinan matriks. Berapa nilai determinan dari matriks a?

Mudah untuk diingat ketika anda membayangkan sebuah salib, di mana biru positif yang bergerak secara diagonal dari kiri ke kanan dan merah adalah negatif yang bergerak secara diagonal dari kanan ke kiri. Determinan itu adalah suatu … Nov 16, 2020 · determinan matriks 2 x 2. Elemen a dan d terletak pada diagonal utama, sedangkan elemen b dan c terletak pada diagonal kedua. Jun 26, 2020 · cara mencari determinan matriks yang mudah.

Soal Matriks Kelas 11 Pdf
Soal Matriks Kelas 11 Pdf from imgv2-2-f.scribdassets.com
Apakah determinan matriks merupakan determinan? Elemen a dan d terletak pada diagonal utama, sedangkan elemen b dan c terletak pada diagonal kedua. About press copyright contact us creators advertise developers terms privacy policy & safety how youtube works test new features press copyright contact us creators. Jun 22, 2021 · untuk matriks 2×2 untuk matriks 2 × 2 (2 baris dan 2 kolom): Hitungalah dan tentukan berapa nilai determinan dari sebuah matrik berikut : Soal determinan ordo 2 x 2. Mudah untuk diingat ketika anda membayangkan sebuah salib, di mana biru positif yang bergerak secara diagonal dari kiri ke kanan dan merah adalah negatif yang bergerak secara diagonal dari kanan ke kiri. Dalam matriks ada yang disebut dengan determinan matriks.

Cara menentukan determinan matriks akan berbeda pada tiap ordo.

Apakah determinan matriks merupakan determinan? Matriks tidak jauh berbeda dengan bilangan karena dapat dioperasikan dengan berbagai macam operasi. Determinan matriks ordo 2×2 3×3 nxn dan contoh soalnya. Determinan itu adalah suatu … Mudah untuk diingat ketika anda membayangkan sebuah salib, di mana biru positif yang bergerak secara diagonal dari kiri ke kanan dan merah adalah negatif yang bergerak secara diagonal dari kanan ke kiri. Cara menentukan determinan matriks akan berbeda pada tiap ordo. Soal determinan ordo 2 x 2. Berapa nilai determinan dari matriks a? About press copyright contact us creators advertise developers terms privacy policy & safety how youtube works test new features press copyright contact us creators. Dalam matriks ada yang disebut dengan determinan matriks. Matriks 2 x 2 artinya matriks tersebut memiliki baris sebanyak dua dan kolom sebanyak dua. Bagaimana cara mencari determinan 2 x 2? Hitungalah dan tentukan berapa nilai determinan dari sebuah matrik berikut :

Berapa nilai determinan dari matriks a? Soal determinan ordo 2 x 2. Determinan itu adalah suatu … Jun 22, 2021 · untuk matriks 2×2 untuk matriks 2 × 2 (2 baris dan 2 kolom): Mudah untuk diingat ketika anda membayangkan sebuah salib, di mana biru positif yang bergerak secara diagonal dari kiri ke kanan dan merah adalah negatif yang bergerak secara diagonal dari kanan ke kiri.

Pertemuan Ii Determinan Matriks Pengertian Determinan Determinan Dinyatakan
Pertemuan Ii Determinan Matriks Pengertian Determinan Determinan Dinyatakan from slidetodoc.com
Determinan itu adalah suatu … Nov 16, 2020 · determinan matriks 2 x 2. About press copyright contact us creators advertise developers terms privacy policy & safety how youtube works test new features press copyright contact us creators. Soal determinan ordo 2 x 2. Determinan matriks ordo 3 × 3. Berapa nilai determinan dari matriks a? About press copyright contact us creators advertise developers terms privacy policy & safety how youtube works test new features press copyright contact us creators. Hitungalah dan tentukan berapa nilai determinan dari sebuah matrik berikut :

Determinan matriks ordo 3 × 3.

Dalam matriks ada yang disebut dengan determinan matriks. Nov 16, 2020 · determinan matriks 2 x 2. Dec 09, 2016 · matriks merupakan susunan angka atau huruf yang disusun berdasarkan baris atau kolom. Matriks 2 x 2 artinya matriks tersebut memiliki baris sebanyak dua dan kolom sebanyak dua. Soal determinan ordo 2 x 2. Matriks adalah susunan bilangan yang disusun dalam baris dan kolom sehingga berbentuk persegi panjang. Matriks tidak jauh berbeda dengan bilangan karena dapat dioperasikan dengan berbagai macam operasi. Bagaimana cara menghitung determinan matriks 3×3? Elemen a dan d terletak pada diagonal utama, sedangkan elemen b dan c terletak pada diagonal kedua. Berapa nilai determinan dari matriks a? Determinan matriks ordo 2×2 3×3 nxn dan contoh soalnya. Jun 26, 2020 · cara mencari determinan matriks yang mudah. About press copyright contact us creators advertise developers terms privacy policy & safety how youtube works test new features press copyright contact us creators.

Posting Komentar untuk "Determinan Matriks 2 * 2 / Contoh Soal Invers Matriks Ordo 2x2 Dan Jawabannya : Soal determinan ordo 2 x 2."